基本信息:
中文名稱 2-溴-9-芴酮
中文別名 2-溴-芴酮;
英文名稱 2-bromofluoren-9-one
英文別名 2-bromanylfluoren-9-one;2-bromofluoreneone;2-bromofluorenone-9;2-BroMo-9-fluorenone;2-bromo-9-fluorenone;2-bromo-9H-fluoren-9-one;2-Bromo-9-fluorenone;2-Bromo-9H-fluoren-9-one;2-bromofluorenone;2-bromo-fluoren-9-one;
CAS號 3096-56-8
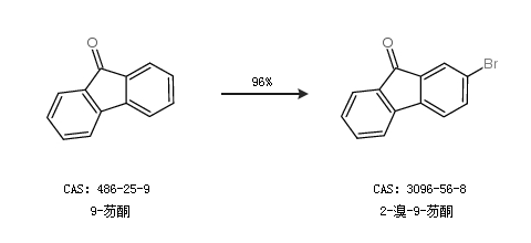
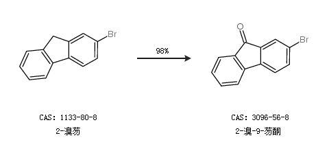
合成路線:
1.通過9-芴酮合成2-溴-9-芴酮,收率約96%;

2.通過2-溴芴合成2-溴-9-芴酮,收率約98%;

合成路線僅供參考