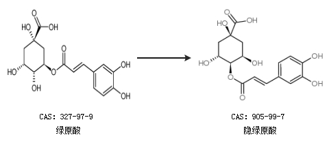
基本信息:
中文名稱 隱綠原酸
中文別名 4-咖啡??崴?4-二咖啡??鼘幩?
英文名稱 4-O-trans-caffeoylquinic acid
英文別名 Cryptochlorogenic acid;(3R,5R)-4-[(E)-3-(3,4-dihydroxyphenyl)prop-2-enoyl]oxy-1,3,5-trihydroxycyclohexane-1-carboxylic acid;
CAS號 905-99-7
合成路線:
1.通過綠原酸合成隱綠原酸

2.通過綠原酸合成隱綠原酸

合成路線僅供參考